Nonlinear Algebra
06/02/18
“What happens to Linear Algebra when it stops being linear?”
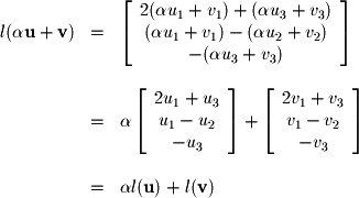
Linear Algebra has endless applications. But sometimes our system has equations where one or more variable might have an exponent greater than one or multiple variables might be coupled together. To work with these systems, we can use something called Nonlinear Algebra to simplify and solve.
