Ackermann’s Formula

Ackermann’s Formula

Ackermann’s Formula

12/04/18

“What is an efficient method for pole placement in control systems?”

 

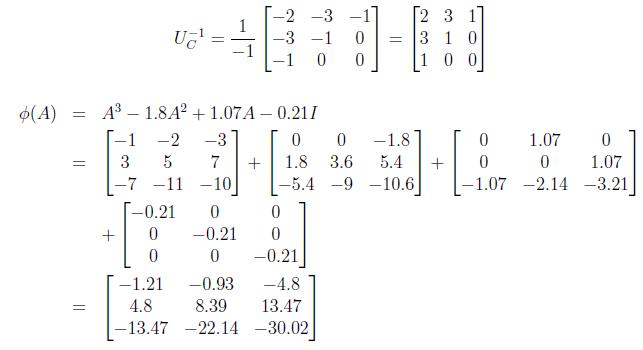
Pole Placement is an excellent way to stabilize a control system. But sometimes we may want an extra efficient way to do this, This is where we can apply Ackermann’s Formula, which automates it nicely for us.

Leave a comment